Министерство Внутренних Дел
Российской Федерации
Служим России, служим закону!
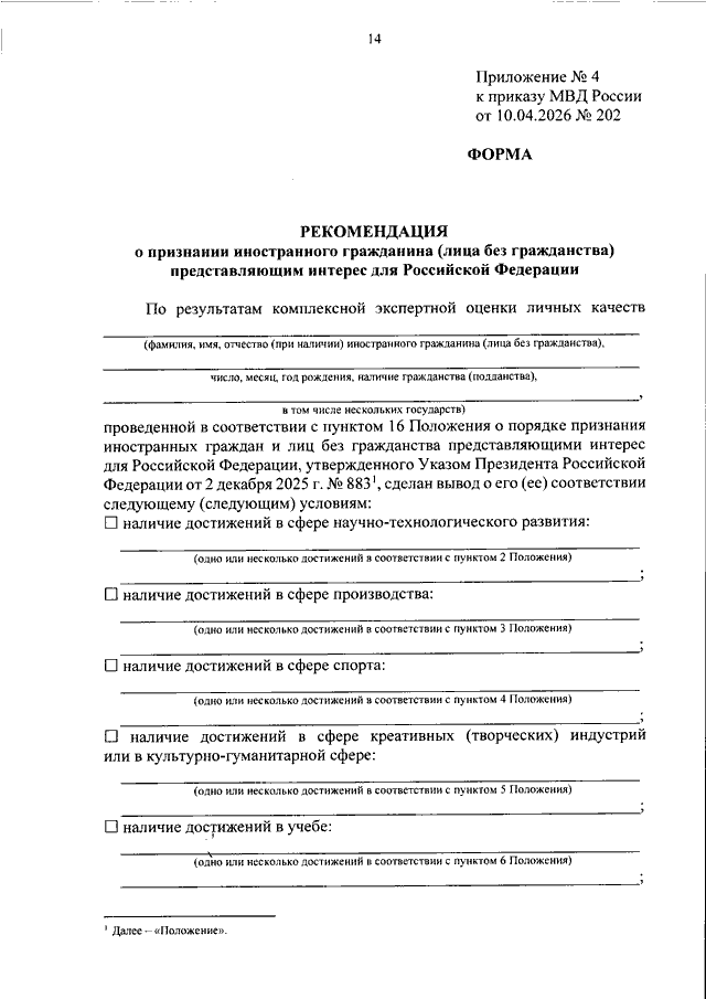
ПРИКАЗ МВД РФ от 10.04.2026 N 202
"ОБ ОРГАНИЗАЦИИ РАБОТЫ ПО ПРИЗНАНИЮ ИНОСТРАННЫХ ГРАЖДАН И ЛИЦ БЕЗ ГРАЖДАНСТВА ПРЕДСТАВЛЯЮЩИМИ ИНТЕРЕС ДЛЯ РОССИЙСКОЙ ФЕДЕРАЦИИ"
(Зарегистрировано в Минюсте РФ 15.04.2026 N 86045)
Показывать страниц:
1
10
100
Для качественной печати:
PDF-файл документа (1 Мб)
<<
<
9
10
11
12
13
14
15
16
17
18
19
>
>>
Страница
14
из
24
<<
<
9
10
11
12
13
14
15
16
17
18
19
>
>>