ПРИКАЗ МВД РФ от 21.10.2024 N 620
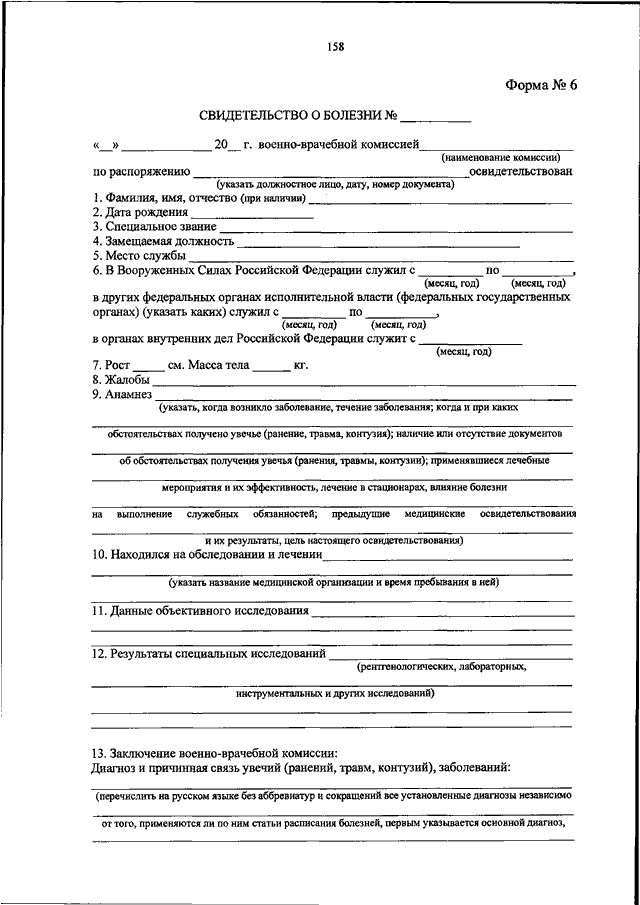
"О ТРЕБОВАНИЯХ К СОСТОЯНИЮ ЗДОРОВЬЯ ГРАЖДАН, ПОСТУПАЮЩИХ НА СЛУЖБУ В ОРГАНЫ ВНУТРЕННИХ ДЕЛ РОССИЙСКОЙ ФЕДЕРАЦИИ, И СОТРУДНИКОВ ОРГАНОВ ВНУТРЕННИХ ДЕЛ РОССИЙСКОЙ ФЕДЕРАЦИИ, ПЕРЕЧНЯХ ДОПОЛНИТЕЛЬНЫХ ОБЯЗАТЕЛЬНЫХ ДИАГНОСТИЧЕСКИХ ИССЛЕДОВАНИЙ, ПРОВОДИМЫХ ДО НАЧАЛА МЕДИЦИНСКОГО ОСВИДЕТЕЛЬСТВОВАНИЯ, ПОРЯДКЕ ПРОВЕДЕНИЯ КОНТРОЛЬНОГО ОБСЛЕДОВАНИЯ И ПОВТОРНОГО МЕДИЦИНСКОГО ОСВИДЕТЕЛЬСТВОВАНИЯ ПО РЕЗУЛЬТАТАМ НЕЗАВИСИМОЙ ВОЕННО - ВРАЧЕБНОЙ ЭКСПЕРТИЗЫ, ФОРМАХ ДОКУМЕНТАЦИИ (КРОМЕ УНИФИЦИРОВАННЫХ ФОРМ МЕДИЦИНСКОЙ ДОКУМЕНТАЦИИ), НЕОБХОДИМЫХ ДЛЯ ДЕЯТЕЛЬНОСТИ ВОЕННО - ВРАЧЕБНЫХ КОМИССИЙ, СОЗДАННЫХ В СИСТЕМЕ МИНИСТЕРСТВА ВНУТРЕННИХ ДЕЛ РОССИЙСКОЙ ФЕДЕРАЦИИ, И ПРАВИЛАХ ИХ ЗАПОЛНЕНИЯ"
(Зарегистрировано в Минюсте РФ 12.12.2024 N 80553)
Показывать страниц:
Для качественной печати: PDF-файл документа (12 Мб)
Страница 158 из 179