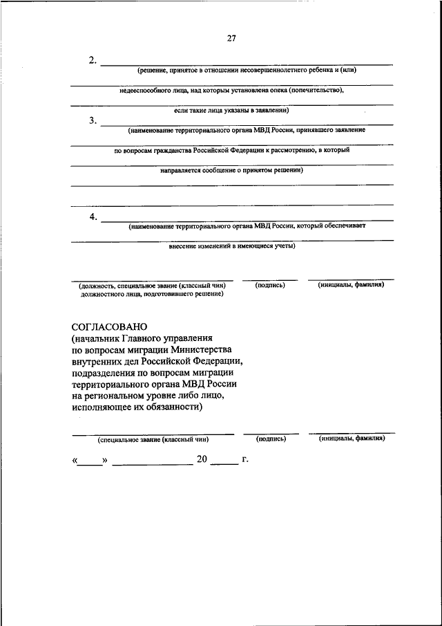
ПРИКАЗ МВД РФ от 21.03.2024 N 125
"ОБ УТВЕРЖДЕНИИ ФОРМ ДОКУМЕНТОВ, ИСПОЛЬЗУЕМЫХ ПРИ РЕАЛИЗАЦИИ ОРГАНАМИ ВНУТРЕННИХ ДЕЛ РОССИЙСКОЙ ФЕДЕРАЦИИ ЗАКОНОДАТЕЛЬСТВА О ГРАЖДАНСТВЕ РОССИЙСКОЙ ФЕДЕРАЦИИ, И УСТАНОВЛЕНИИ ТРЕБОВАНИЙ К ФОТОГРАФИЯМ, НЕОБХОДИМЫМ ДЛЯ ПОДАЧИ ЗАЯВЛЕНИЙ ПО ВОПРОСАМ ГРАЖДАНСТВА РОССИЙСКОЙ ФЕДЕРАЦИИ"
(Зарегистрировано в Минюсте РФ 24.04.2024 N 77973)
Показывать страниц:
Для качественной печати: PDF-файл документа (1 Мб)
Страница 27 из 30