ПРИКАЗ МВД РФ от 30.07.2020 N 536
"ОБ УТВЕРЖДЕНИИ ФОРМЫ ХОДАТАЙСТВА ИНОСТРАННОГО ГРАЖДАНИНА (ЛИЦА БЕЗ ГРАЖДАНСТВА) О ПРИВЛЕЧЕНИИ ЕГО В КАЧЕСТВЕ ВЫСОКОКВАЛИФИЦИРОВАННОГО СПЕЦИАЛИСТА И ПОРЯДКА ЕГО ЗАПОЛНЕНИЯ, А ТАКЖЕ ФОРМ И ПОРЯДКОВ УВЕДОМЛЕНИЯ МИНИСТЕРСТВА ВНУТРЕННИХ ДЕЛ РОССИЙСКОЙ ФЕДЕРАЦИИ ИЛИ ЕГО ТЕРРИТОРИАЛЬНОГО ОРГАНА ОБ ОСУЩЕСТВЛЕНИИ ИНОСТРАННЫМИ ГРАЖДАНАМИ (ЛИЦАМИ БЕЗ ГРАЖДАНСТВА) ТРУДОВОЙ ДЕЯТЕЛЬНОСТИ НА ТЕРРИТОРИИ РОССИЙСКОЙ ФЕДЕРАЦИИ"
(Зарегистрировано в Минюсте РФ 19.10.2020 N 60442)
Показывать страниц:
Для качественной печати: PDF-файл документа (3 Мб)
Страница 31 из 41
Страница 32 из 41
Страница 33 из 41
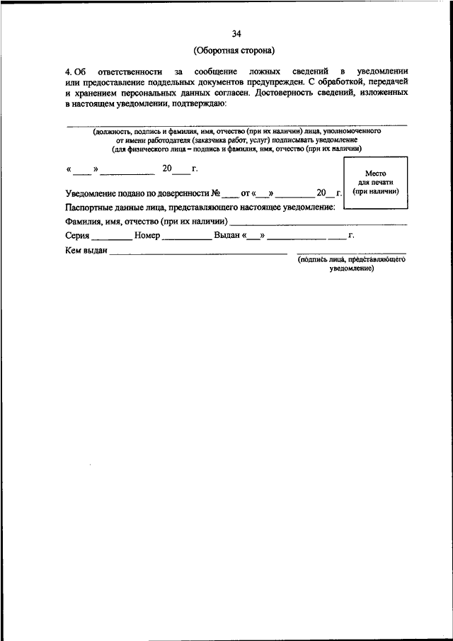
Страница 34 из 41
Страница 35 из 41
Страница 36 из 41
Страница 37 из 41
Страница 38 из 41
Страница 39 из 41
Страница 40 из 41